忙碌的「牛马」们一坐上工位,就像被施了「定身咒」。整个人稳稳焊在椅子上,只有手指在键盘上不停飞舞。刚想站起来接杯水,活动一下僵硬的「老腰」,新的活儿又从四面八方飞过来。一天下来,感觉椅子早已和身体融为一体了。
但不管怎么说,今天也是努力打工的一天,回家之后可得好好歇歇。
结果呢?刚踏进家门,我们立刻扑向热情张开「怀抱」的沙发,再配上刚点的喷香外卖,刷个视频和电视,独属于「沙发小土豆」的美好又惬意的时光开始了。
久坐深入大脑内部 引发「痴呆风暴」
然而,就是这种「白天久坐,晚上继续久坐」的日常被多项发表于权威期刊的研究给「喷」了。
此前,来自南加州大学等机构的研究团队发表于JAMA的一项研究发现,当每天久坐时间超过人群的中位水平(9.27小时),患痴呆风险将呈现阶梯式攀升:久坐10小时者风险增加8%,12小时者风险激增63%,而若久坐时间长达15小时,患病风险更会飙升至两倍以上。
那久坐到底是怎么在大脑中「兴风作浪」,引发了这场「痴呆风暴」的?
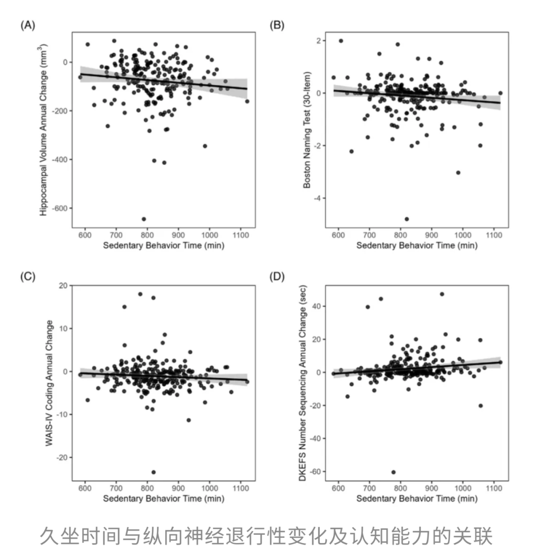
近期,一项发表于Alzheimer’s & Dementia的研究[2]就深入了「久坐党」大脑内部,围观了里面如何「掀起狂澜」。这项研究表明,较长的久坐时间独立地与海马体加速萎缩与认知下降相关,尤其是在携带阿尔茨海默病(AD)遗传风险基因APOE-ε4的个体中,这种关联更为显著。
这个基因可能与久坐行为产生协同作用,加剧血管损伤及神经退行性病变,是AD的遗传易感因素。这些携带者与非携带者在脑体积、认知测试得分等基线指标上无显著差异。
分析结果表明,那些坐得时间越长的人,大脑中的 AD 神经影像学指标往往越不理想。这个指标由几个最容易受AD影响的脑区(如内嗅皮层、中颞叶等)的皮质厚度综合而成,这些区域出现皮质变薄,意味着神经元正在流失,大脑结构开始萎缩,是神经退行性变化的典型标志。
随着时间推移,更进一步的纵向追踪结果显示,久坐时间越长,海马体萎缩得越快。海马体是掌管记忆与学习的「核心枢纽」,它的体积下降往往是认知衰退的早期信号。同时,这些参与者的认知表现出现了更明显的下滑,他们在「命名」任务中更容易出现「眼熟却叫不出名字」的情况,在「处理速度」测试中反应也变得更慢。
不过,久坐的伤害,竟然还看人下菜碟。研究人员还分析了APOE-ε4基因携带者大脑的变化。他们发现,在携带这个风险基因的参与者身上,久坐的“破坏力”被放大了。在携带者中,久坐时间越长,总灰质、额叶和顶叶体积越小。相比之下,在非携带者中,久坐与这些脑区体积之间未出现显著关联。
额叶和顶叶参与高级认知功能、执行控制和感知处理,其体积减小也可能预示认知能力的下降。如此一来,APOE-ε4携带者在长时间久坐时,也更容易表现出脑结构的脆弱性。
总体而言,这项研究揭示,久坐行为是AD的独立风险因素,因此减少久坐时间,有望成为预防神经退行性疾病的有效策略。对于APOE-ε4携带者等遗传高风险人群而言,更需要在日常生活中积极采取措施,降低长期久坐带来的认知风险。
缺氧是大脑常态 运动可使缺氧负担减轻52%
为什么久坐这种「不愿意从椅子、沙发挪窝」的「懒癌」行为会助长AD的「嚣张气焰」?难道我们的大脑真有这么「娇气」吗?
其实,大脑的确是个复杂又脆弱的器官。虽然它的重量只占身体总重的2%-3%,却消耗着全身约20%-30%的氧气。它自身几乎没有储存氧气的能力,因此对氧的依赖极高,必须依靠持续不断的血流来进行供给。一旦脑血流出现中断,神经元就可能因为缺氧而「熄火」。这种状态下,氧化磷酸化反应停止,能量供应中断,神经元迅速丧失功能,甚至引发不可逆的神经损伤,最终导致脑死亡。
此前,发表于Science的一项研究[3]便清晰地捕捉到了大脑皮层在自然生理状态下的氧张力(Po₂)变化过程。这项研究表明,即使在「休息」状态下,大脑也并非始终处于充分供氧的「理想状态」。在清醒时,小鼠大脑皮层中会频繁自发出现许多短暂且局限的「缺氧口袋」,它们持续几秒到几分钟不等。不过,跑步等体育活动可显著降低这类缺氧事件的发生频率,减少幅度高达52%。
研究团队利用绿色增强纳米灯笼(GeNL)这一新型生物发光氧气指示器,在清醒、自由活动的小鼠体内,实时监测大脑组织Po₂的变化情况。
他们发现,即使小鼠处于静息状态,大脑皮层内的氧含量也会骤降,然后又在几秒到几分钟内迅速恢复。这种边界清晰、突发又短暂的局部低氧事件往往局限在非常小的区域,形状也像个小气泡,研究人员形象地将它们称为「缺氧口袋」。
那这些「“缺氧口袋」究竟是怎么冒出来的?
这就耐人寻味了,静脉血本身含氧量就比动脉血低,如果某一时刻局部静脉的血流回流稍有「卡顿」,比如灌注变慢、血液流动不畅,那么附近组织就很可能「缺氧」一小会儿,形成短暂的氧气盲区,也就是这些神秘的「缺氧口袋」。
研究者推测,大脑中毛细血管的微循环受阻是导致「缺氧口袋」出现的「罪魁祸首」。当某些白细胞「赖」在毛细血管中不肯「走」时,就会阻挡红细胞的正常通行。而红细胞又是运氧的主力,一旦它们「卡」在半路,氧气就无法被及时送到大脑组织,某个区域也就陷入了短暂的「断氧」状态。
事实上,既往已有研究提示,脑血流量的减少(包括微血管结构和血流的变化)与认知功能下降之间存在着紧密的联系。随着年龄的增长,脑内毛细血管堵塞的概率也大大增加,进而升高了AD等疾病的患病风险。
既然找到了这些神出鬼没的「缺氧口袋」,我们难道就这么眼睁睁看着它们一点点「啃食」记忆和认知吗?
当然不!研究者还真找到了一个简单又高效的方法——运动。
除了「局部战况」,研究者又将「缺氧口袋」的数量、面积、持续时间与缺氧强度综合成「缺氧负担」这一指标来衡量大脑整体所承受的缺氧压力。
稍微动一动,能降低痴呆风险 弥补遗传劣势
但说了这么多,还是不知道要怎么运动,有没有什么具体的方法呢?
近期,一项发表于Int J Behav Nutr Phys Act的研究[4]给我们提供了一种更具体的可操作的运动时间安排。
此时,可能会有一部分人站出来质疑:“我家里有痴呆基因,再怎么运动都逃不掉吧?”
而中等遗传风险的人通过增加运动量,其痴呆风险可以被部分「抵消」,甚至接近遗传风险较低人群的水平。也就是说,适量的中高强度运动不仅能提高整体健康水平,还可以在一定程度上弥补遗传劣势,从而显著降低痴呆风险。
所以,别再「坐以待呆」了,是时候站起来活动活动僵硬的四肢了,也或者下楼呼吸呼吸新鲜空气,和散步的小狗say hi~
注:研究[1]、研究[2]和研究[4]无法直接推断因果关系;研究[3]主要基于小鼠模型,其结果的临床转化仍需进一步验证。
[1]Raichlen DA, Aslan DH, Sayre MK, et al. Sedentary Behavior and Incident Dementia Among Older Adults.JAMA. 2023;330(10):934–940. doi:10.1001/jama.2023.15231


微信扫一扫打赏
支付宝扫一扫打赏



评论列表()