我们每个人的身体,都是一个无比精妙的平衡系统,由基因、生活习惯、环境等无数因素共同制衡与影响。然而,在这个复杂的系统里,“公平”并非铁律,反而常常存在各种“偏爱”。就像有些疾病更“偏爱”某种基因突变,有些天赋更“青睐”左撇子......这种看似“不公平”的现象,在运动的健康回报上,竟然也体现得淋漓尽致!
此前,我们就报道过一项研究,其指出:尽管男性和女性都能从定期运动中获益,降低死亡风险,但女性似乎总是那个“被偏爱的孩子”——她们能从相对更少的运动量中,获得更大的健康效益。具体而言,女性每周仅需大约140分钟的中高强度运动,就能获得男性需要吭哧吭哧练满300分钟才能达到的相似健康收益!
这已经不是性价比高了,这简直是“运动界的超级VIP待遇”!
那么问题来了:这种“性别优势”,是偶然现象,还是在不同的疾病预防中有普遍性?尤其是在威胁人类健康的头号杀手——冠心病面前,这种偏爱是否依然存在?
这不,实锤又来了! 一项发表于期刊《Nature Cardiovascular Research》 的研究,利用可穿戴设备提供的客观数据,对超过8万人进行了近8年的追踪,再次强有力地证实了这种“偏爱”的真实性,并且发现:在预防冠心病和降低死亡风险上,女性的运动“效率”再次碾压男性,优势明显到令人惊叹。
本研究数据来源于英国生物银行(UK Biobank),共纳入 80,243名无冠心病史的成年人(女性占57.3%),以及 5,169名已确诊冠心病患者(女性占30%)。所有参与者佩戴腕式加速度计一周,记录其真实运动情况。此外,研究人员还进一步统计了他们的:中高强度运动时长(MVPA)、是否达到WHO推荐标准(每周150分钟)、每周达标天数,以及各类健康指标(血压、血脂、血糖、用药史、生活方式等),一同纳入分析。
女性能以更少的运动,换取更多的健康收益
首先,统计数据出现了一个矛盾的现象:不管是健康人还是冠心病患者,女性每周运动时长、遵守指南的比例都比男性低,比如健康人群中,仅45.8%的女性达到每周 150 分钟的运动量,而男性则有 52.1%;在冠心病患者中,女性达标率只有21.9%,男性为34.2%。然而,女性的总体冠心病发病率却显著低于男性(3.06% vs 6.88%)。这似乎暗示:女性可能用更少的运动,换来了更大的健康收益。
表:研究参与者的基线特征(上表仅截取部分)
随着分析的深入,本研究最核心的发现得以确认:在冠心病的一级预防(防止疾病发生)和二级预防(防止患者死亡)中,均存在显著且一致的性别差异——女性从等量或更少运动中获得的健康收益,明显优于男性。
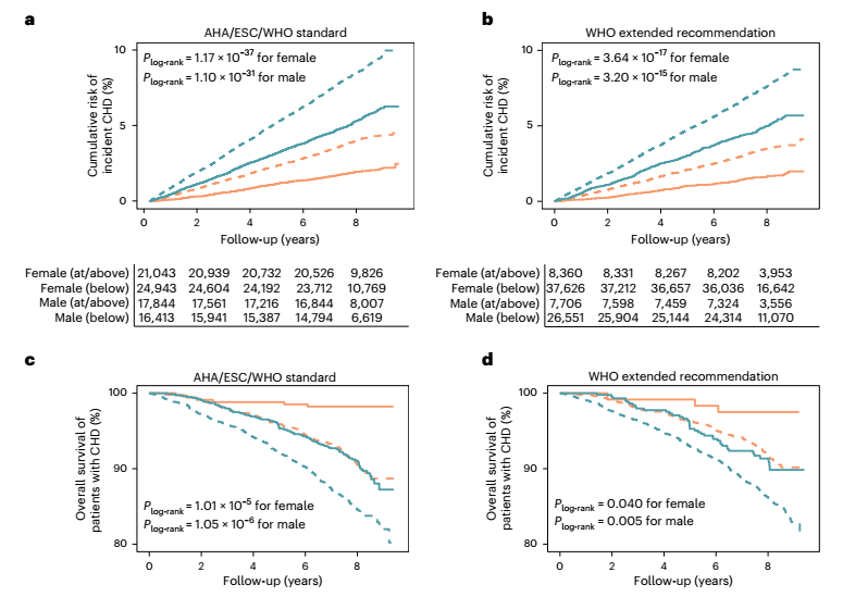
在预防冠心病发病方面,这种“女性运动效率优势”表现得尤为清晰。分析显示,每增加30分钟的中高强度运动,男女均可降低患病风险,但女性的风险降幅(2.9%)显著大于男性(1.9%);而当将标准设为是否达到国际通用运动指南(每周150分钟)时:达到标准的女性,其冠心病风险降低了22%,而男性降低了17%。
表:运动监测设备记录的运动量,在无冠心病人群中与冠心病风险的男女差异,以及在冠心病人群中与死亡风险的男女差异
更为震撼的发现来自剂量反应关系模型。该模型揭示,若期望将冠心病发病风险降低30%,男性需要每周完成高达530分钟的运动,这近乎指南推荐量运动量的3.5倍;而女性仅需每周250分钟,约为推荐量的1.7倍,即可达成同等防护目标。简而言之,在预防冠心病的道路上,女性仅需投入男性不到一半的运动时间,便能收获相似的健康效益。

图:无冠心病人群中男女患冠心病的累积风险,以及按是否遵守运动建议划分的冠心病人群的总体生存率
并且,这种由性别带来的“运动优势”,在考察冠心病患者死亡率时,不仅没有减弱,反而被进一步放大。在已确诊的患者中,那些仍能坚持每周150分钟运动的女性,全因死亡风险大幅降低了70%,呈现“断崖式”下跌;相比之下,坚持同等运动量的男性患者,死亡风险仅下降19%。这意味着,遵循完全相同的运动建议,女性患者所获得的“保命”效益,接近男性患者的3.7倍! 剂量反应曲线同样印证,为实现特定的死亡风险降幅,男性患者所需的运动量始终高于女性。
图:按性别分层的中等至高强度身体活动与冠心病发病率及死亡率的剂量反应关联
除了运动总量,研究还发现:运动的健康效益并非必须通过长时间、连续的锻炼才能获得。将每周150分钟的目标合理拆分,确保在一周内有更多天数达到每日约21分钟的运动量,同样能有效降低疾病风险!同样不出意外的是,在这种“碎片化运动”模式下,女性每多一天达标,其风险下降幅度依然大于男性。
图:按每日身体活动推荐值达标天数分层的性别特异性冠心病发病率和死亡率
那为什么女性运动更“高效”?
研究人员提出了几种可能机制:
1. 激素差异:雌激素可能促进运动时的脂肪氧化,有助于改善血脂,保护心血管。
2. 肌肉类型:女性肌肉中氧化型肌纤维比例更高,能量利用效率更好。
3. 代谢优势:女性在运动中更依赖脂肪供能,而男性更依赖糖原,这可能影响了长期健康效益。
小结
总结而言,这项研究清晰地告诉我们:规律运动能有效降低冠心病发生与死亡的风险;而在获得这项健康“回报”的效率上,女性展现出了显著的优势。
然而,一个不容忽视的现实是,大数据同样揭示,女性的实际运动量普遍低于男性。这意味着,许多女性可能正“手握”一张高效的健康红利券,却尚未充分兑换。
所以,各位读者朋友们,特别是女性朋友们,看到这儿,还有什么理由不行动起来呢?从今天开始,不妨把“没时间”的借口放一放——每天只需凑满20分钟左右的中等强度运动,比如快走、慢跑或跳操,持之以恒,你的心脏就会给你超值的回馈哦!
参考文献:
[1] Chen J, Wang Y, Zhong Z et al. Sex differences in the association of wearable accelerometer-derived physical activity with coronary heart disease incidence and mortality. Nat Cardiovasc Res. 2025 Oct 27. doi: 10.1038/s44161-025-00732-z. Epub ahead of print. PMID: 41145891.
[2] Ji H, Gulati M, Huang TY et al. Sex Differences in Association of Physical Activity With All-Cause and Cardiovascular Mortality. J Am Coll Cardiol. 2024 Feb 27;83(8):783-793. doi: 10.1016/j.jacc.2023.12.019. PMID: 38383092; PMCID: PMC10984219.



微信扫一扫打赏
支付宝扫一扫打赏



评论列表()