如果你问一位物理学家,宇宙中最重要的物理学常数是什么?你恐怕会得到许多答案:光速、普朗克常数、万有引力常数……
然而,如果我们将问题收窄——宇宙中最重要的整数是什么?他们的选择就会集中很多。答案可能是我们生存的3维空间,或者是标准模型中的3代费米子,甚至是超弦理论中的10维时空。
但在这些整数之外,很多物理学家还会提到一个看起来毫无规律的数字——137。甚至有人会将它称为宇宙中最神秘的整数。
为什么是137?这就必须要提到现代物理学中最关键的常数之一——精细结构常数。如果没有这个常数,原子将不复存在,星辰也将熄灭,我们所熟知的物质世界将在瞬间崩塌。
光谱从何而来?
20世纪初,卢瑟福通过金箔轰击实验,提出了原子的核式结构模型:原子由原子核和电子组成,原子核在原子的中心,电子绕着原子核不停地转动,就像地球在轨道上绕着太阳转。
原子的卢瑟福核式结构模型,原子核在原子的中心,电子绕着原子核转。(图片来源:维基百科)
然而,这一模型在经典物理框架下遭遇了挑战:根据经典电磁理论,做圆周运动的电子应不断向外辐射能量,最终会因能量耗尽而坠入原子核,这意味着构成物质的原子竟然无法稳定存在!
为了解决这个问题,丹麦物理学家尼尔斯·玻尔于1913年提出了量子化轨道模型。他大胆假设,电子只能在特定的、分立的轨道上稳定运行,不会辐射能量。
玻尔的模型成功解释了困扰当时物理学界的一项重要实验现象——原子光谱。在玻尔之前,物理学家发现原子发射的光并非像彩虹那样连续,而是由一些孤立、细窄的亮线组成的光谱。每种元素的原子都有其独特的光谱排布方式,就像原子的“指纹”,但经典理论完全无法解释这些离散亮线的来源。
“粗结构”的氢原子发射光谱(图片来源:维基百科)
在玻尔的模型中,这些光谱对应着电子在不同轨道间的跃迁。当电子跃迁时,会吸收或发射特定频率的电磁辐射。由于电子的轨道是分立的,辐射出的能量频率也必然是特定的数值,这便完美解释了氢原子光谱的不连续性。
玻尔的模型首次将量子的概念引入原子结构,初步解释了氢原子光谱的不连续性,也开启了通往现代量子力学的大门。
氢原子的玻尔模型,中心是原子核,电子在特定轨道上绕着原子核转动,当电子从高能级轨道向低能级轨道跃迁时会释放一定频率的光。(图片来源:维基百科)
神秘的分裂然而,玻尔的氢原子模型并不能与氢原子光谱的实验结果完全吻合。玻尔模型不仅与当时最精确的光谱测量结果有一些微小的偏差,更关键的是,实验测得的光谱在某些能级似乎分裂成了两个,而玻尔模型则只预言了一个。这些分裂的微小能级被称为原子的精细结构。
真实的氢原子光谱序列,包括多个精细结构(图片来源:Wikipedia)
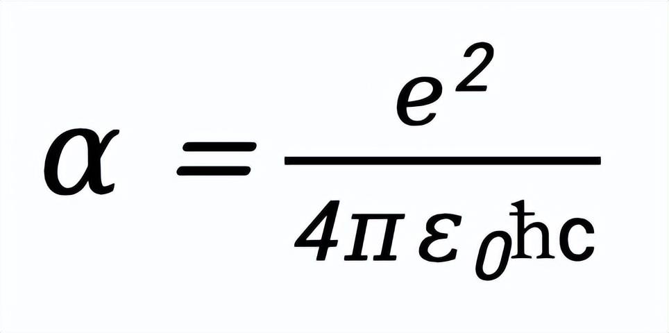
1916年,德国物理学家阿诺德·索末菲进一步发展了玻尔模型。为了解释氢原子光谱的精细结构,索末菲考虑了电子的相对论效应,并在方程推导过程中得到了一个常数——氢原子第一轨道电子速度与光速之比,并将其称之为精细结构常数α:
其中,e是电子所带的基本电荷,ε0是真空介电常数,ħ是约化普朗克常数,c是光速。
阿诺德·索末菲(图片来源:Wikipedia)
令人惊叹的是,虽然在现代量子力学看来,索末菲使用的模型并不准确,但他的计算结果与实验测得的光谱分裂非常吻合,精细结构常数也就此进入了物理学界的视野。
决定世界结构的常数一开始,精细结构常数只是一个为了解释实验现象而引入的一个小小的修正项。然而,随着物理理论的快速发展,这个常数的重要性带到了前所未有的高度。
1928年,狄拉克将薛定谔方程和狭义相对论结合,提出了狄拉克方程。由此求解出的氢原子结构的能级分裂结果,自身就带有精细结构常数。狄拉克证明了,氢原子的精细结构其实就是电子自旋与轨道运动相互作用的必然体现,而精细结构常数刚好描述了这个相互作用的强度。
保罗·狄拉克和狄拉克方程(图片来源:Mathematics Learning)
狄拉克方程对于玻尔的氢原子模型能级进行了修正,解释了莱曼α线为何会分裂为双线
而在物理学的后续发展中,精细结构常数更是起到了举足轻重的作用。为了精密描述四大基本相互作用的电磁相互作用,物理学家发展了量子电动力学的理论,其中精细结构常数正是描述电磁相互作用强度的耦合常数。
在量子电动力学中,带电粒子通过交换光子发生电磁相互作用
按照量子电动力学的理论,你眼前的屏幕发光、你的神经信号传导、甚至是最简单的触摸一个物体,只要有带电粒子和光子要发生相互作用,强度大小都要通过精细结构常数来决定。
就像万有引力常数、普朗克常数等支撑物理世界的基石一样,如果精细结构常数的数值稍微变大或者变小一点点,恒星内部的核聚变就会变得不稳定,化学键的结构也会发生根本性的变化,生命可能根本无法演化。所以,精细结构常数不仅仅是一个数字,它某种程度上支撑了我们所知的宇宙物质结构。
为什么是137?回到精细结构常数这个数字本身,我们通过公式计算可以得到:
α=0.0072973……
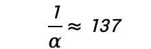
神奇的是,如果对α取倒数,会发现非常接近一个整数:137。
137,这不仅是一个整数,还是一个质数,似乎很少出现在物理学或生活场景中。它为何会出现在这里?
从表达式
还可以看出,精细结构常数是多个物理学常数的组合。其中基本电荷e来自四大相互作用之一的电磁相互作用,约化普朗克常数ħ来自量子力学,真空中的光速c来自相对论。
更重要的是,精细结构常数是一个无量纲常数——它没有单位,只有纯数值,就像数学中的圆周率π一样,在不同的单位制下始终如一。无论是用米制还是英制,无论你是地球人还是火星人,在宇宙的任何一角落,精细结构常数的倒数都约等于137。
一个不随人类选取单位制而改变的无量纲常数,竟然能把当今几大物理学理论都联系在了一起,倒数还是一个神秘的、看似凭空出现的整数137。从提出以来,精细结构常数和137就引起了无数顶尖物理学家的好奇。
在玻尔和索末菲之后,很多大家耳熟能详的著名物理学家都曾经沉迷于研究精细结构常数的本质——海森堡、泡利、狄拉克、玻恩……传说泡利病重住院时仍然痴迷于精细结构常数,他的助手去医院探望他,病床上的泡利提醒助手注意他的病房号——“137”,后来他正是在这个病房内去世了。泡利还曾留下了这段评论:
“当我死后,我问魔鬼的第一个问题将是:精细结构常数的真正含义是什么?”
历史上,物理学家曾试图从第一性原理出发,通过纯理论推导得到精细结构常数,但这些尝试也都失败了。理查德·费曼为此而抓狂:
“所有优秀的理论物理学家都将这个数贴在墙上,为它大伤脑筋……它是物理学中最大的谜之一。……你也许会说‘上帝之手’写下了这个数字,而我们不知道他是怎样下的笔。”
泡利(左)和费曼(右)都曾为精细结构常数的本质而着迷(图片来源:Wikipedia)
冥冥之中,物质世界似乎并不想让人类直接依靠纯理性推出“真相”,那么科学家只能通过实验的手段逐步推进对这个世界的认识。
人类测量最精确的常数实际上,经过多年的精密测量,物理学家已经确认精细结构常数α的倒数并不严格等于137。2020年,法国的卡斯特-布罗塞尔实验室发文公布了目前精细结构常数α最精确的测量结果:
1/α=137.035999206(11)
这个结果的准确度达到万亿分之81,相当于测量出地球到月球的距离,误差不到一根头发丝。正因为如此夸张的精密程度,精细结构常数已经成为人类历史上测量最精确的物理学常数之一。
有些“遗憾”的是,这个结果同时表明,精细结构的倒数是137也许只是一个美妙的巧合,而非宇宙对于137这个整数有所偏爱。
精细结构常数的历史测量数据的汇总与对比。图中红色数据点代表基于电子反常磁矩的测量结果,蓝色与绿色数据点代表基于原子反冲的测量结果。最下方蓝色数据点为目前最精确的测量结果。(图片来源:Morel et al., Nature 2020)
为什么物理学家要追求对精细结构常数的精确测量?因为它在基础物理的各个领域中随处可见。作为描述电磁相互作用强度的耦合常数,精细结构常数是检验诸多物理学理论正确性的关键。
还有一个更重要的问题是,精细结构常数真的是“常数”吗?它在宇宙的演化过程中,或在不同的时空位置,是否会发生变化?万一它是变化的,那么现代物理学大厦将会崩塌。
一种检验方法是将目光放到深邃的太空中。宇宙中遥远的类星体发出的光穿过弥漫在宇宙中的气体云后,一些频率的光被气体云吸收。我们在地球上测量类星体光谱中的吸收线,就可以得到几十亿到上百亿年前精细结构常数的信息。
澳大利亚的研究团队通过对类星体光谱的研究指出,至少目前来看,在实验误差范围内精细结构常数没有随时间发生变化。
在地球上接收类星体的光谱可以测量精细结构常数。(图片来源:ESO)
科学家对精细结构常数的测量一定会持续下去,或许新的测量结果就会成为基础物理学下一场重大革命的起点。无论如何,实验是我们揭开谜底的唯一途径。
作为普通人,我们应当庆幸精细结构常数恰巧是现在这个大小,庆幸它的倒数恰好接近137——正是这个数值,使得电磁相互作用维持在一个合适的强度,使得原子和分子可以稳定存在,使得我们的宇宙和地球得以稳定运行,使得作为读者的你能够读到这篇文章。
作者简介
覃拈,武汉大学物理学博士。
矩阵星,科普作者。





微信扫一扫打赏
支付宝扫一扫打赏


评论列表()